Статистика не только знает все, но и зачастую преподносит сюрпризы. Одним из них является сумма нашего внешнего долга Нидерландам. Этой относительно небольшой стране (лишь 131-е место в мире по площади территории, численность населения примерно такая же, как в Казахстане) мы задолжали значительно больше, чем гораздо более крупным государствам.
В лидерах - голландцы и британцы
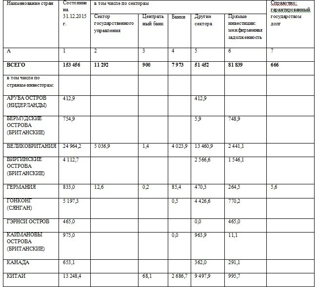
Как следует из статистики, которую ведут аналитики Нацбанка, по итогам прошлого года внешний долг Казахстана перед Нидерландами составил $43 млрд. 321,4 млн. Основная часть этой суммы, $41 млрд. 152,1 млн., пришлась на межфирменную задолженность, к которой относятся все прямые иностранные инвестиции в нашу экономику за исключением покупки акций, взносов в уставный капитал неакционерных предприятий и реинвестированной прибыли, а также обязательства казахстанских предприятий перед своими зарубежными филиалами, дочерними и ассоциированными предприятиями.
А главным героем столь значительных инвестиций, в свою очередь, является энергетический гигант «Shell», штаб-квартира которого расположена в Нидерландах, точнее, в Гааге, а материнская компания – «Royal Dutch Shell plc» - зарегистрирована в Великобритании. В Казахстане «Shell» участвует в трех крупных проектах, имеющих ключевое значение для нашей экономики, - соглашении о разделе продукции по Северному Каспию (доля участия 16,81%), СРП по разработке лицензионного участка «Жемчужины» в казахстанском секторе Каспийского моря (55%) и Каспийском трубопроводном консорциуме (5,4%).
Второе место занимает Великобритания с $24 млрд. 964,2 млн. Структура внешнего долга перед этой страной иная, так как на первом месте здесь идут «другие сектора» с $13 млрд. 460,9 млн., а за ними следуют сектор государственного управления ($5 млрд. 36,9 млн.), банки ($4 млрд. 23,9 млн.) и лишь потом межфирменная задолженность ($2 млрд. 441,1 млн.).
Такая диверсификация объясняется тем, что британские компании, помимо нефтегазовой отрасли, активно участвуют и в других сферах отечественной экономики, включая финансовый и банковский секторы, консалтинговые и образовательные услуги, транспорт, добычу цветных металлов, производство табачных изделий. А лондонский Сити с его фондовой биржей остается для казахстанского правительства и бизнеса основной площадкой для привлечения иностранных заимствований.
Со значительным отставанием от этих двух стран идет трио в составе Китая ($13 млрд. 248,4 млн.), США ($12 млрд. 484,8 млн.) и Франции ($11 млрд. 285,3 млн.). Далее расположились международные организации ($9 млрд. 526,1 млн.), а за ними на почтительном расстоянии следуют Россия ($6 млрд. 939,7 млн.), Япония ($5 млрд. 626,4 млн.), Гонконг ($5 млрд. 197,3 млн.) вместе с Виргинскими Британскими островами ($4 млрд. 112,7 млн.).
Как видно, географическое распределение внешнего долга Казахстана значительно отличается от тех инвестиционных и геополитических стереотипов, которые бытуют в нашей стране и в которых первая скрипка отдается Китаю, США и России, тогда как на самом деле здесь доминируют государства Европейского Союза. Ведь только на Нидерланды, Великобританию и Францию в сумме приходится $79 млрд. 570,9 млн., или более половины всего внешнего долга нашей страны!
Внешний долг Казахстана по странам, млн. долларов США


* долговые ценные бумаги, выпущенные в соответствии с законодательством других государств и на их территории, отражаются по стране доверительного управляющего – нерезидента
** Не распределено по странам:
- синдикат иностранных банков, от которых привлечен государственный займ (Министерством финансов РК); счета и вклады нерезидентов в казахстанских банках (за исключением Российской Федерации).
Источник: Национальный банк РК.
До дефолта пока далеко
В Нацбанке также отмечают, что из общей суммы внешнего долга Казахстана в $153 млрд. 456,3 млн. на межфирменную задолженность приходятся $81 млрд. 839,5 млн. Таким образом, за вычетом последней величины внешний долг составляет $71 млрд. 616,8 млн. Платежи же по погашению и обслуживанию всего долгосрочного долга составили $37 млрд. 873,4 млн., без учета межфирменной задолженности - $26 млрд. 296,8 млн.
Размер внешнего долга на душу населения в Нацбанке определяют за вычетом межфирменной задолженности - этот показатель составил $4 052,8, что меньше уровня 2007-го ($4 292,3), 2008-го ($4 238,1), 2012-го ($4 098,8), 2013-го ($4 420,2) и 2014-го ($4 477,1) годов. Но утешаться этим обстоятельством не приходится, поскольку в прошлом году отношение общей величины внешнего долга к ВВП поднялось до максимума в 83,0% за последние годы, если вести отсчет с 2009-го, когда было 98,3%.
Схожая ситуация сложилась и при расчетах отношения внешнего долга к ВВП за исключением межфирменной задолженности. По итогам прошлого года эта величина составила 38,7%, превысив уровень 2011-2014 годов. С другой стороны, она гораздо меньше уровня 2005-2010 годов, когда показатель колебался в диапазоне 42,5% - 64,1%.
Но вот что реально настораживает в статистике внешнего долга, так это драматический рост отношения внешнего долга к объему годового экспорта товаров и услуг (ЭТУ). По итогам прошлого года значение этого показателя подпрыгнуло до 290,8%, тогда как максимум за период 2005-2014 годов составил 235,0% (в 2009-м).
Отношение платежей по погашению и обслуживанию долгосрочного внешнего долга к ЭТУ тоже поднялось до второго по величине максимума за последнее десятилетие в 71,8% (больше было только в 2009 году – 81,1%). Аналогичный расклад сложился и при расчетах с исключением объема межфирменной задолженности из общей величины внешнего долга.
Тем не менее, говорить о скором дефолте Казахстана по обязательствам и превращении нашей страны в неплатежеспособного должника мирового сообщества пока не приходится. Дело в том, что отношение резервов Нацбанка к краткосрочному внешнему долгу находится сейчас на максимальном уровне за последнее десятилетие в 432,3%. Если же брать величину такого долга по сроку, оставшемуся до погашения, то отношение резервов Нацбанка к ней составляет 126,0%, а с учетом зарубежных активов Национального фонда – 412,6%.








Правила комментирования
comments powered by Disqus